Bugetarii din Primăria Craiova primesc vești bune înainte de sărbători. Aceștia vor avea salarii mai mari în anul 2023. Totodată, veștile nu sunt la fel de bune pentru craioveni, în general. Aceștia vor fi nevoiți să plătească taxe și impozite mai mari, de la anul.
Conform unui proiect de hotărâre ce va sta pe masa consilierilor locali din Bănie, salariile de bază aferente funcţiilor din cadrul familiei ocupaţionale „Administraţie”, utilizate în aparatul de specialitate al Primarului Municipiului Craiova, precum şi în cadrul serviciilor publice de interes local ale municipiului Craiova vor fi majorate. Angajații Primăriei vor primi bani mai mulți începând cu data de 1 ianuarie. Această creștere a fost posibilă după ce salariul de bază minim brut pe ţară garantat în plată, care a devenit 3.000 de lei/lună. Totodată, când s-a stabilit ca majorarea să ajungă la votul consilierilor au fost luate în calcul și creșterile prețurilor din ultima perioadă, lucru care nu a oprit autoritățile locale să propună și majorarea taxelor și impozitelor pentru craioveni, dar și creșterea prețului la căldură, în toiul iernii.
„Facem precizarea că această propunere nu este de natură să genereze costuri semnificative pentru bugetul local, având totodată rolul de a asigura menţinerea unui sistem de plată echitabil, în concordanţă cu evoluţia economică şi indicele de creştere a preţurilor bunurilor de consum”, se menționează în proiectul de hotărâre.
Autoritățile locale explică faptul că dacă se face o comparație cu salariile de bază aflate în vigoare, media cu care se majorează este de aproximativ 9%, sub rata anuală a inflaţiei, care depăşeşte 15%, acordându-se o creştere diferentiată pe functii, grade/trepte profesionale, mai accentuată pentru categoriile de salariaţi cu venituri mai mici. În acest context, fondurile bugetare pentru capitolul cheltuieli de personal vor fi prevăzute în bugetul general al Municipiului Craiova pentru anul 2023.
„La stabilirea salariilor de bază pentru funcționarii publici și personalul contractual din cadrul aparatului de specialitate al Primarului Municipiului Craiova şi din cadrul serviciilor publice de interes local ale Municipiului Craiova, s-a avut în vedere raportarea la nivelul salariului de bază minim brut pe țară garantat în plată, în anul 2023, conform Hotărârii Guvernului nr. 1447/2022 pentru stabilirea salariului de bază minim brut pe ţară garantat în plată”, după cum se specifică în raportul proiectului.
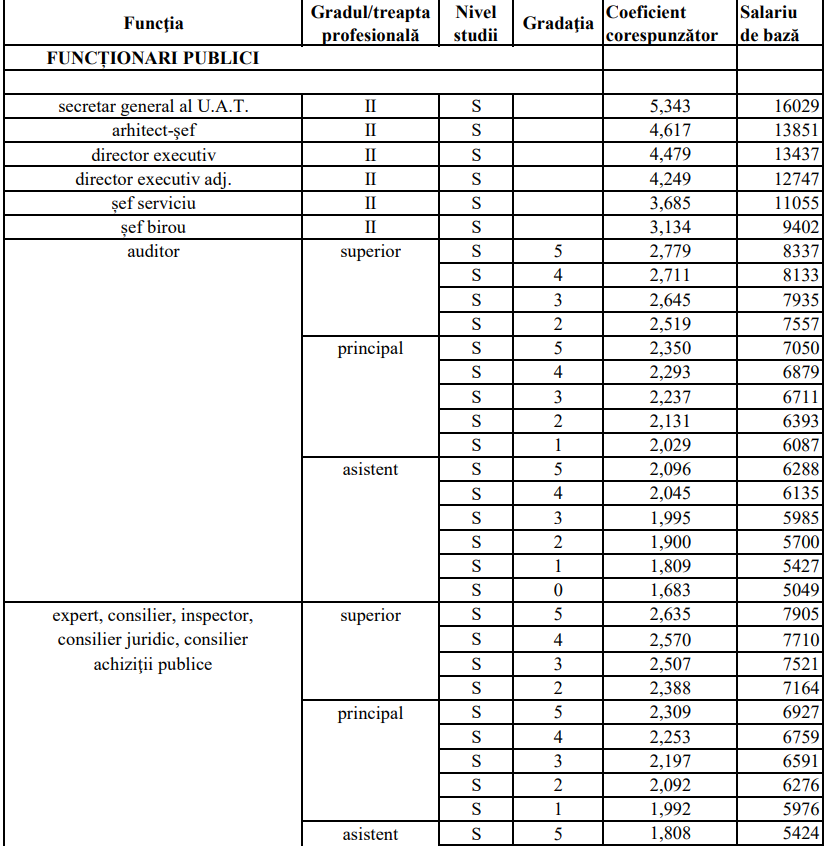
Angajații Primăriei Craiova cu cele mai mari salarii în 2023:



Taxe şi impozite mai mari pentru craioveni, din 2023
În ultima ședință a anului 2022, consilierii locali din Craiova vor avea în față un proiect de hotărâre privind stabilirea și aprobarea impozitelor și taxelor locale, pentru anul 2023. Acesta a fost în consultare publică până la mijlocul lunii decembrie. Acum, doar câteva voturi vor decide dacă taxele cresc alături de salariile angajaților din Primărie sau nu.
Inflaţia este cauza principală a creșterilor de taxe și impozite locale, pentru că, de anul viitor, va fi luată în calcul o indexare a taxelor şi impozitelor cu rata inflației de 5,1%. Doar în cazul clădirilor se vor utiliza alte valori de referinţă.
Impozitele și taxele locale sunt următoarele:
- a) impozitul pe clădiri și taxa pe clădiri;
- b) impozitul pe teren și taxa pe teren;
- c) impozitul pe mijloacele de transport;
- d) taxa pentru eliberarea certificatelor, avizelor și autorizațiilor;
- e) taxa pentru folosirea mijloacelor de reclamă și publicitate;
- f) impozitul pe spectacole;
- g) taxele speciale;
- h) alte taxe locale.
Începând de anul viitor, ar urma ca cetățenii din Bănie să plătească mai mult pentru apartamentele și casele pe care le dețin în oraș. Taxele vor crește în funcție de anul în care a fost construită locuința, zona în care e situează, dar și după suprafață. Pentru imobilele din zonele A și B, impozitul pe locuinţă în Craiova va creşte semnificativ, în timp ce pentru cele din zonele C și D se va menține la același nivel sau va înregistra creșteri, dar foarte mici.

Totodată, echipele de fotbal din Craiova vor plăti și ele chirii mai mari pentru a folosi stadionul „Ion Oblemenco”. Cu 2.557 de lei mai mult vor fi nevoite CSU și FCU Craiova să plătească pentru o partidă disputată pe teren propriu, în 2023, suma fiind mai mare pentru meciurile din fazele superioare ale cupelor europene.

Și la Stadionul de Atletism crește chiria. Dacă în 2022, pentru evenimentele atletice si maratoane internaționale se plăteau 10.000 de lei pe zi, de anul viitor, suma va fi cu 510 lei mai mare. Totodată, taxa pentru evenimente atletice si maratoane locale, județene, regionale și naționale suma crește cu 255 de lei, în 2023, ținând cont de faptul că în prezent taxa este de 5.000 de lei.
Printre altele, modificări va suferi și taxa pentru ocuparea terenurilor aparţinând domeniului public şi privat cu terase sezoniere, în care se desfăşoară activităţi comerciale, diferenţiată pe zone de atractie comercială.

Prețul căldurii din Craiova poate crește în același timp cu salariile din Primărie
S.C. Termo Urban Craiova SRL solicită ca tariful de distribuţie şi furnizare a energiei termice, distribuită prin punctele termice pentru populație şi agenţii economici, sa fie de 239,73 lei/Gcal, exclusiv TVA, la care se adaugă tariful apei fierbinți de la CEO, de 312,66 lei/Mwh x 1,163 (constantă de transformare din MW în Gcal) = 363,62 lei/Gcal, rezultând un tarif de 603,35 lei/Gcal, exclusiv TVA, iar prețul de producere, distribuție și furnizare a energiei termice distribuită din centrale termice să fie de 869,20 lei/Gcal, exclusiv TVA.
Hotărârea privind mandatarea reprezentanţilor Municipiului Craiova, prin Consiliul Local al Municipiului Craiova, să aprobe și să voteze în Adunarea Generală a Asociației de Dezvoltare Intercomunitară Termis Dolj, modificarea tarifului la energie termică furnizată prin punctele termice pentru Termo Urban Craiova S.R.L. va fi adoptată doar dacă va trece de votul consilierilor, care vor avea de luat mai multe decizii importante pentru buzunarul craiovenilor, joi, în ultima ședință a anului.









