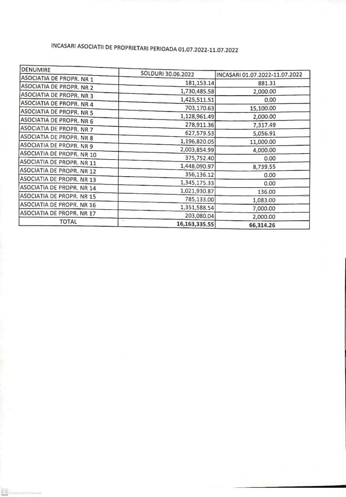
Un furnizor de apa și agent termic din Motru are de recuperat de la cetățeni peste 16 milioane lei. Este vorba despre Uzina de Agent Termic și Alimentare cu Apă (UATAA) Motru. Conform datelor publicate de reprezentanții uzinei, opt asociații din cele șaptesprezece au datorii de peste 1 milion de lei. Este și o asociație care are datorii față de uzină de peste 2 milioane lei.
Uzina se află în subordinea Consiliului local și a hotărât să publice lista cu asociațiile de proprietari datornice astfel încât locatarii branșați la sistemul centralizat de încălzire să cunoască exact situația.
„Întrucât datoriile Asociațiilor de Proprietari sunt foarte mari iar implicarea reprezentanților acestora este inexistentă am considerat necesară publicarea datoriilor și încasărilor pe care le are fiecare asociație astfel încât, locatarii branșați la sistemul de încălzire centralizat să cunoască situația exactă. Atenționăm asupra faptului că așa cum au crescut prețurile la energia electrică, gaze, a crescut substanțial și prețul combustibilului(păcură) cu care SC.UATAA Motru SA. trebuie să funcționeze în perioada de iarnă în condițiile în care prețul pe Gcal nu a crescut din ianuarie 2019. Vă rugăm să dați dovadă de responsabilitate, să achitați datoriile restante astfel încât împreună să trecem cu bine și iarna 2022-2023. Anexăm alăturat situația datoriilor fiecarei asociații la data de 30.06.2022 și plățile făcute de fiecare asociație în perioada 01.07.2022-11.07.2022”, a scris pe Facebook. UATAA Motru.








